エリア別「中小企業の稼ぐ力」を徹底比較!群馬や熊本が健闘、東北地方は赤字企業率3割超え
~2025年エリア別「中小企業の稼ぐ力」比較調査~
「新型コロナウイルス」感染拡大から5年が経過し、円安を追い風に、輸出産業や大企業を中心に業績改善が進み、賃上げや設備投資の動きも広がっている。
だが、こうした持ち直しの動きが一様に行き渡っているわけではない。中小企業に目を向けると、売上が回復しても、原材料費や人件費の上昇が重くのしかかり、収益改善は限定的にとどまる企業も少なくない。
この回復状況の濃淡は、地域によってどのように表れているのか。それとも、エリアを問わず共通の課題を抱えているのか。東京商工リサーチの持つ企業の業績データを手がかりに、中小企業が置かれた現状を探った。
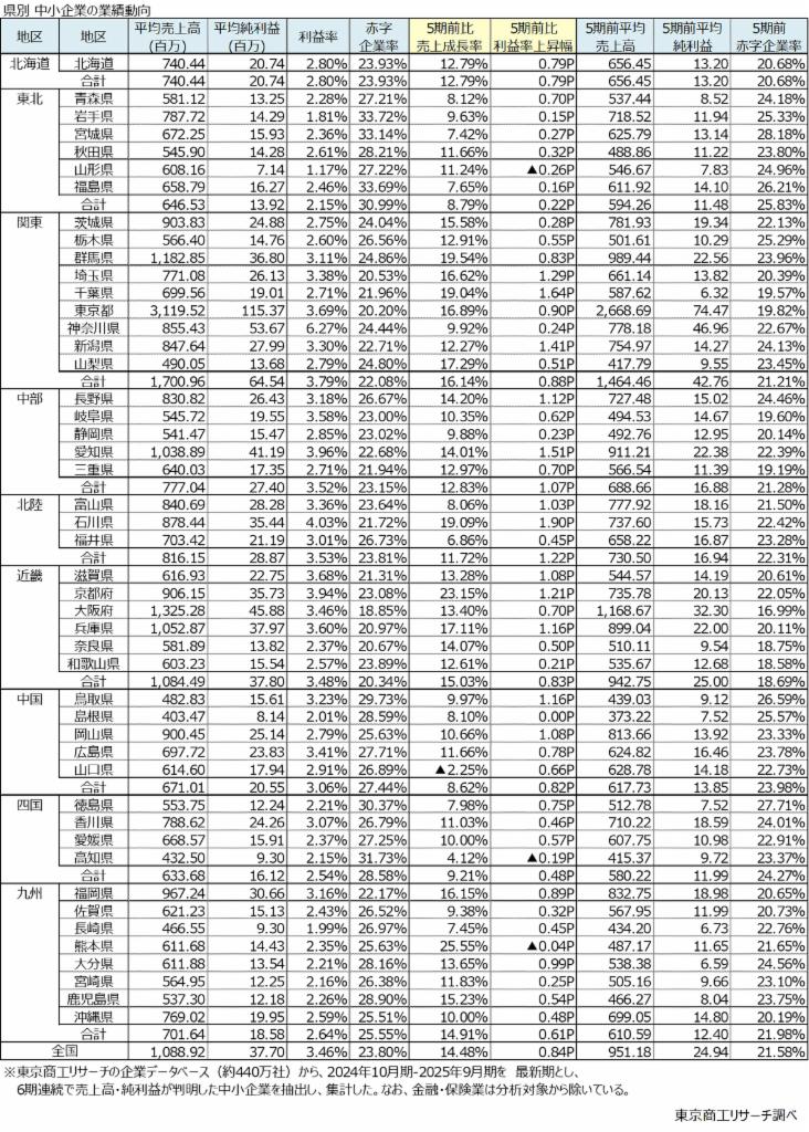
※東京商工リサーチの企業データベース(約440万社)から、2024年10月期-2025年9月期を最新期とし、6期連続で売上高・純利益が判明した中小企業を抽出し、エリア別の業績動向を集計した。なお、金融・保険業は分析対象から除いている。エリアは本社および本社機能がある地点で集計した。
※中小企業の定義は、「中小企業基本法」に基づく。従業員数は正社員数を採用。
関東が業績回復をけん引、東北は赤字企業率3割以上に
2024年10月期-2025年9月期を最新期として抽出した、中小企業の全国平均の水準は、売上高10億8892万円、純利益3770万円で利益率は3.46%だった。コロナ禍直前期~初頭の5期前(2019年10月期-2020年9月期)と比較すると、売上成長率が14.4%増、利益率上昇幅は0.84ポイント増となった。
一方、赤字企業率は21.5%から23.8%へ上昇。全体の平均数値は改善しているが、赤字に転落する企業も増加し、企業間の業績格差は拡大している。
地区別(本社地ベース)の業績を比較すると、売上規模・利益水準ともに地域間の格差は大きい。地区別で業績の回復が目立つのは関東で、平均売上高は17億96万円、平均純利益は6454万円、利益率は3.7%に達した。売上・利益ともに他地区を大きく上回り、5期前比の売上成長率も16.1%増と高水準だ。
関東内で県別の業績をみると、企業数が圧倒的に多く、中小企業の中でも規模の大きな企業が多い東京都が業績をけん引している。
このほか、平均売上高、売上成長率の高さで目立つのは、群馬県だ。製造業や卸売業、情報通信業などで平均売上高が大きく伸びている。群馬県は中小・中堅規模の製造業が多く、円安が進む状況下で上手く業績を成長させた製造業を起点に、卸・小売業、情報通信業など、幅広い産業に好業績が波及したと考えられる。関東圏に属しながら、地価・人件費が相対的に低い環境で、利益率も地方エリアの中では比較的高水準になっている。
利益率・利益率上昇幅では、震災復興需要などを背景に建設業や運輸業で収益性の改善が進む北陸がそれぞれ3.53%、1.22ポイント増と高かった。
一方、数字の低さが目立つのは、東北だ。平均売上高は6億4653万円で四国に次いで低い水準、平均純利益は1392万円でワーストとなり、赤字企業率は唯一、3割を超えた。5期前からの売上成長率が8.7%増、利益率上昇幅0.22ポイント増と他地区と比べて物足りない水準にとどまった。
県別で、5期前からの売上成長率が最も高かったのは熊本県の25.5%増。世界一の半導体受託メーカーであるTSMCの進出効果で、製造業を中心に様々な産業で売上を伸ばしていることがわかる。
ただ、半導体企業を中心に人材獲得競争が発生し、地方としては賃金上昇圧力が急激に上昇。さらに、地価など様々な物価が上昇し、5期前と比べた利益率上昇幅は0.04ポイント減と低迷している。
売上成長率が23.1%増と2番目に高かった京都府は、利益率上昇幅も1.21ポイント増と高水準だった。価格転嫁が進み、効率的に利益を生み出した企業が多いようだ。
利益率上昇幅が最も高かったのは石川県で、1.90ポイント増。サービス業他や建設業などが売上高・利益を伸ばし、利益率が大きく上昇した。

【農・林・漁・鉱業】関東の売上高・利益が突出
次に、10産業で地区ごとに業績の特徴が目立った産業を抜粋してみていきたい。
まず、農・林・漁・鉱業では、関東が平均売上高21億8908万円、平均純利益1億8311万円で突出した。5期前と比較した売上成長率も43.3%増と他地区を大きく引き離している。東京に本社機能を置く資源開発会社など、一部の鉱業関連企業が売上・利益の金額を大きく押し上げた格好だ。なお、エネルギー資源や金属価格の上昇などで売上高は大きく上昇したが、売上よりコスト増のスピードが速く、利益率は低下している。
農・林・漁・鉱業のうち社数が多い農業では、北海道が平均売上高6億4967万円、平均純利益2719万円でそれぞれ首位に立った。1戸あたりの耕地面積が大きい北海道は、設備投資による生産効率向上の効果が出やすく、利益率も唯一、4%を超えている。ただ、赤字企業率は5期前と比較して2.9ポイント増と増加し、企業間で明暗が分かれた。
利益率の高さでは、北海道に次いで、近畿3.4%、四国3.36%、中国3.33%と西日本が並んだ一方で、九州が全国で唯一、マイナスとなった。九州の農業は畜産の構成比が高く、飼料代や水道光熱費の高騰など、円安の影響を受けたとみられる。

【建設業】売上は関東が突出
建設業の地区別業績をみると、売上規模では関東がトップ。平均売上高5億507万円、平均純利益1998万円と他地区を大きく上回り、都市再開発や大型案件の集中が大企業から中小企業まで受注金額を押し上げている。一方で、利益率は突出して高い水準にはなく、人件費や資材価格の上昇の影響がにじむ。
中部や北陸は、売上規模こそ関東に及ばないが、利益率は4%超と相対的に高く、工場・倉庫、震災復興関連のインフラ整備などの非住宅工事の案件が比較的多いことが奏功しているとみられる。
建設業全体では5期前と比較して売上・利益率ともに上昇したが、全ての地区で5期前と比べて赤字企業率が上昇し、業績を改善させた企業とそうでない企業で二極化が進む。

【製造業】九州の売上成長率の高さ目立つ
製造業でも関東が平均売上高25億6935万円、平均純利益1億18万円と全地区で最高水準だった。利益率は3.89%と高く、5期前比の利益率上昇幅も1.84ポイントと最大だった。
売上成長率で最も高いのは九州で、21.95%もの伸びを記録した。平均売上高は22億5477万円、平均純利益は5805万円に成長し、半導体関連などの設備投資効果が表れた。ただ、九州は利益率の伸びが0.59ポイント増と微増にとどまり、中小の製造業では人件費などのコストアップで厳しい状況が表れている。

【卸売業、小売業】卸売業は関東が数字で独走も薄利構造、小売業は売上成長率トップが中部
卸売業では、関東が平均売上高36億6136万円、平均純利益6758万円で独走する。だが、関東の利益率は1.84%で高水準とは言えず、薄利構造が続いている。
利益率では、中部が2.3%でトップだった。5期前と比べた利益率上昇幅も0.93ポイント増と最も大きく、採算改善が際立つ。
小売業は、関東が平均売上高13億9799万円で首位に立った。ただ、5期前と比べた売上成長率は2ケタ増の地区が多いなかで唯一の1ケタ、3.1%増にとどまり、他産業と比べて他地区との平均売上高の差は小さかった。
売上成長率では、トップの中部が22.5%増、次いで九州が21.7%増、北海道が20.7%増で続いた。収益性では、四国が利益率2.7%、利益率上昇幅1.73ポイント増と高さが目立った。

【情報通信業】北陸が健闘
情報通信業では、関東が平均売上高19億831万円、売上成長率58.8%増と突出する一方、利益率が1.3%と5期前と比較して低下した。需要が急拡大する一方で、競争激化により収益性の低下に悩む中小企業が増加しているとみられる。
利益面では、北陸が平均純利益8581万円、利益率7.8%で突出するほか、四国も平均純利益4215万円、利益率6.5%と高水準だ。すでに高水準だった5期前と比較しても利益率は伸びており、都市圏よりも競争が穏やかな環境下で地元需要をしっかりと取り込み、高収益体質を維持していると考えられる。
情報通信業では、全ての地区で5期前と比べて赤字企業率が上昇し、収益力が低下した企業が増えた。

地区別・産業別に中小企業の業績を俯瞰すると、多くの地域で売上は5年前を上回っている。売上高だけを見れば、日本経済は着実に拡大しているようにも映る。
ただ、売上増の背景を掘り下げると、仕事量や需要の増加よりも物価高の進行で、原材料費や人件費、サービス単価など、あらゆる金額が押し上げた結果、売上が膨らんでいる側面が大きい。全体では、売上成長率に比べて利益率の上昇は総じて緩やかな傾向で、地区や産業によっては低下しているケースも見られる。全体として赤字企業率は上昇し、エリアを問わず企業間の格差が広がる産業もあり、売上の成長が収益力の強化につながらず、“利益なき成長”をたどっている可能性がある。
利益率の上昇幅は限定的ながらも、プラスを維持している以上、企業が生み出す利益の金額自体は着実に積み上がっている。ただ、売上が拡大する中で、利益の「絶対額」は増えているが、売上の伸びほどには利益が増えていない点には注意が必要だ。
利益率やその変化に目を向けると、成長の「中身」にはばらつきがあることがわかる。観光業の回復や設備投資、地域特有の需要拡大など、仕事量や需要の拡大が比較的はっきりしている地域や産業では、利益率もあわせて上昇しているケースが確認できる。単価上昇にとどまらず、業務効率の改善や受注内容の見直しが進み、収益改善につながっている可能性もあるだろう。
同じ物価高、同じ人手不足、同じ円安環境の中でも、売上増を利益につなげられる企業と、そうでない企業に分かれつつある。成長の「量」ではなく、「中身」が問われる局面に、日本の中小企業は足を踏み入れている。